联系我们
主办单位

山东省陶瓷协会

淄博市陶瓷琉璃产业链推进办公室

淄博市传统产业发展中心

承办单位

山东领瓷展览有限公司

联系我们
首页 > 行业新闻 > 陶瓷粉体有哪些制备工艺?

粉体制备工艺

对于先进陶瓷材料而言,其所用粉体原料都是人工精选的材料,粉体的制取工艺通常,会包括物理方法或化学方法。不同制备方法适用于不同应用范畴及材料。下文将对部分粉体材料的制备方法进行一个简要的介绍。

氧化锆

氧化锆陶瓷的性能依赖于高质量的氧化锆粉体。自然界中锆元素主要分布在锆英石内,锆英石的主要成分是 ZrSiO4,一般先采用火法冶金工艺将 ZrSiO4破坏,然后用湿化学法将锆浸出,其中间产物一般为氯氧化锆或氢氧化锆,中间产物再经煅烧可制得不同规格、用途的 ZrO2产品。

1

共沉淀法

工艺流程图如下:
图片
优势:设备工艺简单,生产成本低廉,且易于获得纯度较高的纳米级超细粉体,目前国内大部分氧化锆生产企业采用的都是这种方法。
缺点:没有解决超细粉体的硬团聚问题,粉体的分散性差,烧结活性低。

2

水解沉淀法

水解沉淀法分为锆盐水解沉淀和锆醇盐水解沉淀两种方法。
锆盐水解沉淀工艺流程图如下:

图片

优点:操作简便。
缺点:反应时间较长(>48小时),耗能较大,所得粉体也存在团聚现象。

锆醇盐水解沉淀工艺流程图如下:
图片

优点:几乎全为一次粒子,团聚很少;粒子的大小和形状均一;化学纯度和相结构的单一性好。
缺点:原料制备工艺较为复杂,成本较高。 

3

水热法

工艺流程图如下:
图片

优点:粉料粒度极细,可达到纳米级,粒度分布窄,省去了高温煅烧工序,颗粒团聚程度小。
缺点:设备复杂昂贵,反应条件较苛刻,难于实现大规模工业化生产。

4

溶胶-凝胶法

溶胶-凝胶法是被广泛采用的制备超细粉体的方法。它是借助于胶体分散体系的制粉方法,形成几十纳米以下的 Zr(OH)4 胶体颗粒的稳定溶胶,再经适当处理形成包含大量水分的凝胶,后经干燥脱水、煅烧制得氧化锆超细粉。
优点:(1)粒度细微,亚微米级或更细;(2) 粒度分布窄;(3)纯度高,化学组成均匀,可达分子或原子尺度;(4)烧成温度比传统方法低400~500℃。
缺点:(1)原料成本高且对环境有污染;(2)处理过程的时间较长;(3)形成胶粒及凝胶过滤、洗涤过程不易控制。

碳化硅

最早用于制备 SiC 粉体的方法是碳热还原法,也被称为 Acheson 法,由于其原料成本低、制备工艺简单,逐渐发展成为工业合成 SiC 粉体的主要方法。为满足随应用领域的发展而对 SiC 粉体日益苛刻的性能要求,研究者们做了大量工作,一方面积极改进原有的碳热还原工艺,另一方面开发了一系列制备 SiC 超细粉体的新型工艺,如燃烧合成法、溶胶-凝胶法、高温等离子体法、化学气相沉积法等。SiC 粉体的制备方法多种多样, 按初始原料的物质状态大致可分为固相法、液相法和气相法三种方法。

图片

1.固相法
1.1碳热还原法
传统碳热还原法由 Acheson 发明,因此又被称为“Acheson 法”。它是在 Acheson 电阻炉中,将纯度较高的石英砂和固定碳含量较高的石油焦的混合物加热到 2500℃左右,让其充分反应,将石英砂中的 SiO2 被 C 还原制得 SiC,所得反应产物以 α-SiC 为主。用此法制得的 SiC 含量一般为 96%左右,冶炼产物为绿色和黑色,SiC 含量愈高颜色愈浅,高纯为无色。
由于原料成本低,制备工艺简单,可以大批量生产,因此直到今天,碳热还原法一直是工业合成SiC粉体的主要方法。研究者们在 Acheson 法的基础上不断改进,通过使用超细原料、改进混料工艺和引入催化剂等方法有效地降低合成温度,并可以制得纳米级的SiC超细粉体。
1.2燃烧合成法
燃烧合成法又称自蔓延高温合成(SHS)法,是以外加热源点燃反应物坯体,然后利用自身的燃烧反应放出的热量使化学反应过程自发地持续进行,从而合成一种新型材料的合成方法。该方法具有工序少,流程短,成本低等特点,但是在反应过程中有可能形成复杂相,容易从一些原料直接转变为另一种产品。

1.3机械粉碎法
机械粉碎法是粉体颗粒(金属盐或金属氧化物充分混合、研磨、煅烧后的产物)在外力作用下内部缺陷扩展,最后得到超细粉体,其实质是靠动能来破坏材料的内结合力,使材料分裂产生新的界面。该方法具有设备和生产工艺简单,成本低,产率高等特点,但在反应过程中极易引入铁等金属杂质。

2.液相法
2.1溶胶-凝胶法
SiC粉体合成中最常见的液相法是溶胶一凝胶法,其本质仍然是碳热还原反应,所不同的是在反应前驱体的制备过程中引人了溶胶一凝胶工艺,实现了前驱体中Si源和C源在分子水平的均匀混合。溶胶一凝胶法具有合成温度低、产品粒度小、纯度高、化学均匀性好等优点,成为实验室合成高纯超细陶瓷粉体的重要方法。

2.2热分解法
有机聚合物的热分解是制备 SiC 粉体的有效技术之一,该方法主要包括两类:一类是加热先驱体发生分解反应放出小单体,再由碳热还原反应制得 SiC 粉体;另一类是加热先驱体放出小单体后生成骨架,最终形成 SiC 粉体,先驱体的合成是该法制备 SiC 粉体的关键。

3.气相法
3.1化学气相沉积法(CVD法)
化学气相沉积法,是将大于或者等于两种的气体注入一个密闭的环境中, 然后注入的气体就会发生扩散充满整个空间并发生一定的化学反应,得到一种新的物质。其中 CVD 法一 般以硅烷和四氯化硅等为硅源,以四氯化碳、甲烷、乙烯、乙炔和丙烷等为碳源,合成 SiC 粉体。虽然采用 CVD 法利用有机气源合成得到高纯的纳米级超细 SiC 粉体,但该方法不利于后期的收集,且不适合大批量高纯粉体的合成,不利于后期产业化的发展。
3.2激光诱导法(LICVD)
激光诱导法是在 1970 年左右人们发现的通过激光为加热热源,生成纳米碳 化硅的一种方法。其原理是利用反应气体分子或催化分子对特定波长的激光共振吸收,反应气体分子受到激光加热引起反应物发生激光光解、激光热解、激光光敏化和激光诱导等离子化学反应,在适合工艺参数的条件下获得超细粒子空间成核和生长,形成纳米颗粒。目前,已采用 LICVD 法制备出多种单质、 无机化合物和复合材料超细粉末,其中就包括纳米 SiC 粉体。

3.3等离子体法
等离子体法通常是采用直流电弧、高频感应或微波加热等方式产生等离子体并形成一定的温度梯度,在超高温和高能量密度下激发气体发生化学反应,并通过快速冷却得到纳米颗粒。等离子体法的优点是反应耗时短,但设备要求高,转化率低,目前还处在实验室研究阶段。

氮化硅

目前氮化硅粉的制备方法主要有硅粉氮化法、二酰亚胺合成法、碳热还原法、等离子法等方法,不同的粉体合成工艺,对粉体的特征有巨大的影响。
图片

1、硅粉氮化法

硅粉氮化法是将亚微米级的硅粉在1200℃的高温、氨气或氮气的气氛下,硅与氨气或氮气直接反应制备氮化硅粉的方法,反应方程式如下:
图片
优点:工艺简单易行,设备操作用容易,无毒,产物重复性好,适用于工业化大规模生产,也是现在商业化应用最广泛的方法之一。
缺点:反应为放热反应,为生产高α相的氮化硅粉,通常将反应体系的温度控制在较低条件下进行,使得反应时间长,生产效率较低,能耗较大。且产物一般为不规则块状,需要破碎研磨等工序得到粉末,易引入杂质。

2、二酰亚胺合成法

二酰亚胺合成法通过将气态或者液态的SiCl4与NH3进行化学反应,生产Si(NH)2,并放出NH4Cl,经过洗涤后进行热处理结晶化,在1300~1500℃结晶化处理,生成α-Si3N4,超过1500℃则为β-Si3N4,反应方程式如下:
图片
优点:产物形状呈规则球形,α-Si3N4含量高,有较好的烧结性能,市场上品质较高的粉体便是日本宇部(UBE)公司采用此方法制备的。随着SiCl4等原料简单易得,此方法成为第二大制备氮化硅的生产方法。
缺点:二酰亚胺合成法工艺步骤繁杂,且需要用到大量有毒化学试剂,制备条件苛刻,产物含有较多氯离子,且成本较高。

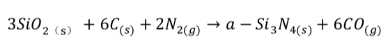
3、碳热还原法

碳热还原法是使用SiO2和碳在N2气氛下共热制备氮化硅的方法,它是氮化硅粉在工业化生产中最早使用的方法,被认为是性价比最高的用于制备高α相氮化硅的生产路径。反应方程式如下:
图片
缺点:生产过程中易同时生产SiC和Si2N2O,且产物中通常含有未反应完全的SiO,制备的氮化硅粉体纯度不是太高,难以满足高品质氮化硅陶瓷粉体的性能要求。

4、等离子法

等离子法是指在CO2激光和等离子体高能辐照下使用SiH4和NH2来制备氮化硅。反应方程式如下:
图片
优点:使用气相法来制备氮化硅时通常具有纯度高和粒度小的特点,此方法成为生产高纯纳米氮化硅的重要方法。
缺点:成本高,产量小,生产效率不高,无法满足大规模工业化生产需要。

高纯氧化铝

高纯氧化铝粉体制备方法可分为三大类:液相法、气相法、固相法,但液相法在产品质量、生产成本及环境保护等方面均优于后两者,是最重要的氧化铝制备技术,下面重点对液相法进行分析总结。

1 结晶热解法

1.1 硫酸铝铵结晶热解法

硫酸铝铵法应用较广,其产品活性好,粒度均匀。精制过的硫酸铝在硫酸铵体系下进行结晶,在多次重结晶过程中硫酸铝铵被提纯,最终将提纯后的硫酸铝铵热解制得氧化铝粉体。该法的工艺简单、成本低、粉体质量高且易于大规模工业生产,但过程中易出现热溶解现象,对于钾、钙、卤素等杂质的去除困难。此外,热分解过程中产生的氨气和硫氧化物造成环境污染,是限制其发展的主要因素。

1.2 碳酸铝铵结晶热解法

对于硫酸铝铵法的完善和改进研究是多年来人们所关注的点。基于硫酸铝铵法改进后的碳酸铝铵结晶热解法一定程度上控制了空气污染问题,在目前的工业生产中应用较多,将提纯后的硫酸铝铵与碳酸氢铵反应,转化为碳酸铝铵,避免了后续热解产生硫氧化物气体。与硫酸铝铵法相比,碳酸铝铵法的产品粉体粒度分布不均匀,有团聚现象产生,生产成本也较高。生产过程中需要严格控制各参数及反应条件。

2 水解法

2.1 醇铝水解法

醇铝水解法在催化剂体系下,有机醇和金属铝反应生成醇铝溶液,然后进行水解,所得高纯氢氧化铝烧结后得到高纯氧化铝。针对该方法,保证氧化铝品质的技术关键有以下三点:一,保障原料纯度;二,醇铝的进一步精馏提纯,除去高熔点杂质;三,醇铝的干燥、烧结条件和粉体制备装置调控粉体的粒度。该法环境友好,对所得氧化铝的纯度高,但高纯度的有机醇前驱体造成生产成本高、工艺复杂、纯度难控制。

2.2 直接活化水解法

氯化汞活化水解法,使用氯化汞将铝片或铝屑活化,然后置于1%浓度的硫酸铝溶液中水解,将所得氢氧化铝溶胶高温干燥后得到凝胶,进一步高温处理制得氧化铝粉体。该工艺的重点在于铝的活化水解,要保证原料为高纯度的铝薄片,若水解不充分,产品中残留有单质铝,过程中引入的汞处理不好会污染环境,水解时产生的氢气排放也要考虑安全因素。高纯铝活化水解法生产周期短,所得氧化铝粉体可提高透明陶瓷的透过率和耐腐蚀性,但对原料金属铝的纯度要求较高,需要严格的过程控制以保证产品纯度,其苛刻的水解条件以及环保问题使该法仅限于实验室应用。

3 改良拜耳法

改良拜耳法将数次脱硅、除铁后的偏铝酸钠溶液析出氢氧化铝,在高温条件下焙烧得到所需晶型的高纯氧化铝,溶液净化除杂和结晶过程均会对最终产品的纯度和粉体质量产生影响,是该法的关键。该法应注意对钠的脱除,在焙烧时添加矿化剂或在氢氧化铝水热转相时添加脱钠剂均是有效的除钠手段。结晶过程中溶液过饱和度、结晶温度、晶种大小等参数直接影响氧化铝的纯度及粉体质量,通过准确的控制反应条件,使结晶过程缓慢地进行,避免异常晶核的形成,有利于减少 Na、Si 等杂质的夹杂。该工艺成本低,原料来源广,但过程复杂,焙烧温度高,产品获得率低,纯度也相对较低。

4 溶胶凝胶法

溶胶凝胶法是一种低温制备高纯氧化铝的重要方法。将高纯度的铝盐在高纯度的无机盐或有机酸中水解生成水合物前驱体透明溶胶,然后将溶胶聚合凝胶化得到透明凝胶,凝胶进一步高温加热得高纯氧化铝。据报道,溶胶凝胶法生产氧化铝过程中 α-氧化铝的相转化在 1000℃即可发生,明显较其它方法低。该法所使用的溶剂无毒,但工艺复杂、溶剂等的纯度要求高、生产成本较高、工业化扩大生产难度大,此外粉体团聚严重,需要添加适当的表面活性剂或采用其它方法抑制团聚现象。


5 水热合成法

水热合成法对产品的纯度和粒度控制容易,利用水溶液作为反应体系,通过加热加压增大前驱体的溶解度,高纯铝与水蒸气作用直接水解为氢氧化铝,在降温的过程中析出氧化铝,避免氢氧化铝煅烧产生硬团聚,再经干燥、煅烧等工序即可制得氧化铝粉体。该法的缺点是设备投资大,高温高压具有一定的危险,氢氧化铝转化为氧化铝的效率低,通常需要添加晶种降低相转变温度。

6 沉淀法

沉淀法分为三类:直接沉淀法得到的产品粒度不均匀,分散性差;均匀沉淀法团聚少、反应速度可控性好;共沉淀法作用于混合后的溶液,各组分混合沉淀。沉淀法工艺简单、成本低、易于工业化生产,但在成核结晶,前驱体的洗涤、干燥、煅烧等工序都易产生团聚现象,对于优质的粉体制备必须严格控制全过程。

7 其它制备方法

除上述较常用的方法外,代表性的其它方法有电火花放电法、微乳液法、等离子体法、喷雾热分解法等。

电火花放电法通过高温及火花放电产生的冲击力,使金属铝转化为具有高活性的小颗粒铝,高活性铝与水反应生成氢氧化铝,再经煅烧生成氧化铝,该法产生的粉体品质好,可达微米级,不污染环境,但该法扩大困难、能耗高,难以工业化应用。

微乳液法可在纳米级对材料的粒径和稳定性进行精确控制,是制备纳米粒子的一种先进手段,乳化温度、表面活性剂及水箱浓度是决定粉体粒度的重要参数。

等离子体法温度易控,包括等离子体发生、化学反应、骤冷反应三个过程,氧化铝的热解过程较其它方法能耗低,产品粒径可控,是一种比较新颖的方法。

喷雾热解法通过将铝盐溶液在高温空间雾化,在短时间内完成溶剂的蒸发和铝盐的热分解,直接制得氧化铝粉体,但装置较沉淀法复杂。